Steel Frame Elevator Shaft Details
Steel Frame Elevator Shaft Details
Couldn't load pickup availability
DIGITAL CONTENT – INSTANT DOWNLOAD
Save hours of drafting time. Ready-to-use structural CAD detail.
WHAT'S INCLUDED
WHAT'S INCLUDED
DIGITAL CONTENT - INSTANT DOWNLOAD. Your files will be available to download immediately after successful payment.
STRUCTURAL CAD DRAWING .dwg, .dxf, and .pdf delivered in one zip file.
All drawings are prepared using the metric system.
3D Images and models are not included with this purchase.
REFUNDS POLICY
REFUNDS POLICY
For digital products we generally cannot offer refunds. Refunds can only be considered under specific circumastances. For more details you can read our refund and returns policy HERE
FULL PRODUCT DESCRIPTION
FULL PRODUCT DESCRIPTION
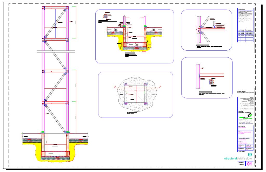
This structural CAD drawing will most probably serve you as a problem solver. It is a generic and adaptable complete structural solution for a steel frame elevator shaft core. It includes elevation views, plan views, all connections and shaft pit foundation detailing.
Complete foundation & pit detailing
The elevator shaft pit is completely detailed leaving you with almost no extra work apart from including it with your project.
It provides a clear and detailed depiction of the footing foundation and column support structure, complete with all necessary reinforcement details.
- footing top & bottom reinforcement
- footing reinforcement beams
- shaft pit walls reinforcement detailing
- steel column positioning and baseplate anchorage
- baseplate detailing
- ground support sub-layers & foundation insulation
Comprehensive detailing
The elevator shaft core is constructed with four corner columns, horizontal lateral bracings, diagonal bracing to withstand the vibrations of all movable lift parts.
The drawing includes full plan view and connection details for all necessary connections needed as well as a full height elevation view of the steel core shaft.
All lateral beam bracings and diagonal bracings on all floor levels together with full connection details. Diagonal bracings are only installed on 3 sides of the lift to leave enough door opening gap on the entrance side.
Use with any project
This comprehensive drawing provides a clear and detailed representation of the steel core frame together with the foundation and shaft pit of the lift, complete with all necessary reinforcement details.
The drawing is designed to be adaptable to any design project, ensuring that it can be used across a wide range of construction applications.
Share

Bundle and Save . . .
-
Complete Single Span Hangar Portal Frame Design Details
Regular price €28,00 EURRegular price€35,00 EURSale price €28,00 EURSale -
Simple Timber Pergola Complete Solution Details for veranda patio porch
Regular price €28,00 EURRegular price€35,00 EURSale price €28,00 EURSale -
Complete structural design drawings for a reinforced concrete house
Regular price €75,00 EURRegular price€100,00 EURSale price €75,00 EURSale -
Steel Frame Hangar Complete Design Drawings
Regular price €75,00 EURRegular price€100,00 EURSale price €75,00 EURSale -
Reinforced Concrete Beam Column Multistorey Frame Connections
Regular price €25,00 EURRegular price€33,00 EURSale price €25,00 EURSale
Complete Library Sets
Large number of individual details bundled together into complete library sets. Complete Reinforced Concrete library, Steel frame library, Timber frame library and Revit families library.
Grow your library with this great value set of drawings.
Buy Once and Get Free Lifetime Updates!
Library Bundles
Carefully selected collection of CAD structural details and excel templates, bundled together at a special discounted price.
Bundle and save!
Our Super Bundle Offer
All of our structural CAD libraries, bundled together into a single package with hundreds of drawings at a Super Bundle Price.
Contains all of Reinforced Concrete, Steel Frame and Timber frame structural drawings.
A large comprehensive structural library at your fingertips to use with every project. Save time - save big!
Buy Once and Get Free Lifetime Updates!
Subscribe to our mailing list
To show our appreciation we will send you a 10% discount for your next purchase. We only send 1-2 emails per month with store updates and upcoming offers.
We promise not to spam your inbox. Don't miss out on amazing offers!
RECEIVE A FREE SAMPLES PACK
SIGN UP HERE
Discover more...
Browser our Youtube channel and discover more design tips, tutorials and productivity tools.
-
SAVE TIME
Ready made CAD drawings
-
LARGE LIBRARY
Biggest structural library online
-
FULLY DETAILED
Taken from real life projects